我们考虑一个期望效用最大化问题,其中效用函数不一定是凹的,而且时间范围是不确定的。建立了完备金融市场上一般非凹效用函数最优性的充分必要条件。我们证明了处理非凹性的效用函数的一般凹化方法,虽然对于金融市场过滤来说,当时间范围是一个停止时间时仍然适用,但当时间范围与金融风险无关时,会导致次优性,因此不能直接应用。对于后一种情况,我们提出一种基于动态规划原理的递归过程。本文通过对具有随机时间范围的凸期权补偿方案下的最优投资问题进行多周期数值分析来说明本文的研究结果。我们观察到,在确定和不确定的随机时间范围内,非凹组合的分布都是右偏的,右尾长,表明投资者期望从投资中频繁地获得小损失和少数大收益。在提前停止日期的(确定)平均时间范围投资组合是单峰的,而随机时间范围投资组合是多峰分布的,这为投资者根据市场表现在局部最大化者之间切换提供了一定的灵活性。具有不同高度的多个峰的多模态结构可以用凹化过程来解释,而时间范围的分布对模态间的振幅有显著影响。
最优控制理论和数学金融中的一个经典问题是在时间范围[0,T]内,从初始投资开始,在所有可接受的终端头寸(投资组合)上最大化预期回报或效用,其中是预先给定的,目标(效用)函数是凹的。这种连续时间设置下的效用最大化问题可以追溯到Merton[21],其潜在的随机过程代表金融市场。默顿的开创性工作已经在几个方向上得到了扩展,例如,通过假设更一般的偏好结构,通过将额外的随机性纳入潜在的风险过程,或者通过在优化问题中包含风险约束,参见Biagini [5], Wong等人[28]或Karatzas等人[19]等人的广泛讨论。
在这项工作中,我们研究了默顿问题的推广到效用函数不一定是凹的和时间范围是随机的情况下。让我们简要地提到一些最相关的文献。大多数最优控制类型的问题都有一个固定的已知时间范围。然而,在现实中,这种自然的固定期限并不存在,而是外生或内生事件决定了最优控制/最优投资问题的结束。Yaari早期的一篇论文[29]研究了一个具有纯确定性投资机会的简化情况下,具有不确定死亡时间的个人的投资问题。将Yaari的论文推广到具有多个风险资产的离散时间设置。Merton[21]研究了最优生命周期消费和投资,其中时间范围的不确定性通过一个强度恒定的独立泊松过程的第一次跳跃来反映。Richard[25]以封闭形式解决了死亡时间不确定且存在人寿保险的最优投资组合选择问题。在这些工作中,可以将时间范围的不确定性作为附加的折现因子,并利用凹效用函数的动态规划原理提供闭型解。Blanchet等[10]研究了完整金融市场中具有连续时间范围分布的凹效用最大化的更完整设置。Bouchard和Pham[11]研究了具有一般不确定时间范围结构的不完全市场中的凹效用最大化问题。所有提到的作品都把客观效用不一定是凹的情况(例如[13])作为一个开放的问题。就我们所知,随机时间范围下的非凹效用最大化问题尚未得到研究。
关于具有一定时间范围的非凹优化的文献非常多,如Aumann and Perles[2]、Basak and Makarov[3]、Bensoussan等[4]、Bichuch and Sturm[8]、Carassus and Pham[12]、Carpenter[13]、Chen等[14]、Larsen[20]、Reichlin[24]、Rieger[26]和Ross[27]。对于有约束的非凹优化,请参见Nguyen and Stadje[22]或Dai等[15]。在这些金融和OR文献的作品中,非凹凸性通常来自非线性的期权型管理薪酬。在业内,这种薪酬计划被视为克服潜在委托代理问题的一种方式,并有望使经理人的激励与所有者的激励保持一致。
非凹形投资的另一个重要应用涉及在欧洲和非欧洲人寿保险市场广泛使用的参与保险合同。通常,购买参保保单时,投保人预先支付一笔总保费,节省下来的资金以自筹资金的方式进行投资,但需支付年息,保险公司提供(最低限度的)担保。所谓的“灵活附加合同”就是一个例子,由于当前的低利率发展,最近越来越受欢迎,其中决策变量是投资池的风险,参见[14]和内部参考文献。在积极的经济发展中,投保人获得盈余,而在糟糕的经济发展中,保险公司承担损失。因此,参与保险合同可以被视为期权型金融工具,从而导致非凹效用函数。在这样的背景下,据我们所知,我们的研究是第一个能够将生命周期的随机性纳入投资问题的研究(而不是简单地假设一个固定的预先指定的时间范围)。由于我们的目标是在说明部分得到一些明确的结果,我们广泛地考虑了[13]中的期权补偿问题,其中效用函数只允许一个凹化区间,但具有随机的时间范围,该时间范围在通用时间区间[0,T]上具有离散分布。我们注意到,我们的结果可以扩展到具有连续分布时间范围的设置。
我们的贡献是第四倍。首先,我们表明,当时间范围是金融市场过滤的停止时间时,可以应用[26]中描述的处理非凹凸性的一般方法。这是对[13]中的结果的扩展,将[11](命题3.3)中的结果补充到完全市场中的随机时间范围。其次,当独立于金融风险而市场不完备时,我们建立了一般效用函数最优的充分必要条件。第三,对于独立于财务风险的情况,我们证明了优化效用函数的凹形版本将导致次最优性,并可能导致显著的预期效用损失,并提出了基于动态规划原理的递归过程来解决这种情况下的优化问题。第四,通过对具有随机时间范围的非凹期权补偿问题进行多周期数值分析,深入探讨了随机性对管理层薪酬方案和参与保险合同的影响。这在计算上具有挑战性,因为在一个时期内由凹形问题获得的最优乘数是一个随机变量,它取决于前一时期末的市场实现情况。
我们通过数值计算表明,在不确定的时间范围下,仅使用可用的金融工具无法完全对冲的新随机性,确定问题策略是次优的,并导致预期效用损失。此外,由于锥化,非凹优化问题在退出时刻的财富分布呈右偏,右尾长,表明投资者可以预期投资经常出现小损失和少数大收益。直观地说,投资收益的正偏斜分布通常是具有期权类补偿支付的代理人所希望的,因为有可能获得巨额利润,从而弥补所有频繁的小损失。在过早退出风险下,某一退出时刻的财富呈不同高度的双峰分布。双峰结构可以用凹化过程来解释,而存在时间的分布对两模态间的振幅有显著影响。当某一时刻的确定效用在许多开放区间内是仿射的时,相应的财富预计是多模态分布。
本文的其余部分组织如下:首先,我们描述了一个特定的完整的金融市场设置,并在第2节中引入了不确定的投资时间。在第三节中,我们给出了非凹一般效用函数的最优性的充分必要条件。在第4节中,我们证明了凹化技术不适用于随机时间范围的非凹设置,它会给金融市场带来额外的风险,并推导了这种不确定时间范围的非凹优化的动态规划原理。在第5节中,我们研究了电力公用事业的情况,并对具有时间范围不确定性的非凹优化进行了数值研究。在第6节中,我们研究了当时间范围是金融市场过滤的停止时间时的情况。最后,第七节总结了我们的主要成果。一些附加的引理可以在附录中找到。
设[0,T]为经济的最大时间跨度,W为概率空间中的n维布朗运动。
对于市场设置,我们假设n种风险资产S的价格建模为几何布朗运动,即:
其中,上标i表示对应向量的第i项,或者(i, j)表示矩阵的第i行和第j列的项,我们用下标t表示时间索引t。我们分别用符号和表示对应的向量或矩阵。除了这些风险资产之外,我们还考虑无风险资产(例如债券)B,其中r表示(确定性)利率。市场中的信息由布朗运动产生的增广过滤捕获,满足通常的条件,是微不足道的。我们假设系数,是有界的,确定的,波动是有界的,确定的,可逆的,有界逆的。
在无套利金融市场中,存在一个唯一的等价鞅测度,其Radon-Nikodym密度M为with的解,其中。此外,我们定义。根据It?的公式,我们有和
我们在通常的无摩擦环境中考虑经济,股票和债券是无限可分的,没有市场摩擦,没有交易成本等。除金融市场设置外,我们还考虑随机时间范围,其中是独立于的正离散随机变量。特别是,不是一个停止的时间。设与是由生成的代数。定义的。通过定义任意的等价鞅测度,可以将等价鞅测度推广到。我们注意到任何-鞅也是-鞅,参见例[1]。
在续文中,我们考虑了一类一般的不一定凹的效用函数,它是非常的、递增的、连续的、有左右导数并满足生长条件的效用函数
(2.1)
我们设定为避免歧义和定义。我们不假设U是凹的或严格递增的。在凹设置下,式(2.1)等价于,它是Inada条件的一部分。我们注意到Eq.(2.1)和假设暗示存在一个主导U的凹函数,即。下面的结果解释了为什么我们可以考虑不可预测的投资策略,而不是不可预测的投资策略。我们称可预测过程或可预测过程为局部平方可积过程。
假设它是-可预测且局部平方可积的。那么存在一种策略,它是-可预测的,局部平方可积的,并且
用for表示。[1]中的Prop. 2.11得出-可预测的过程Y可以表示为-可预测的,并且是一个随机函数,是-可预测的-代数。集。然后
这个包含了那个,引理随之而来。
我们认为,投资者将资金投入风险资产i的时间为。通过考虑自筹资金的投资组合,这笔钱被投资于债券。我们使用时间s的财富过程符号,从时间t的初始资本在自融资策略下发展而来,其中表示投资于资产i的金额。在时间上,我们假设初始资本严格为正。然后根据随机微分方程进行演化
(2.2)
我们称可容许的,如果是渐进可测的,局部平方可积的,即,a.s.,并且相关的财富过程是非负的。与可容许策略相对应的财富过程称为可容许财富过程。根据格萨诺夫定理,只要是局部平方可积的,就一定是局部鞅。对于初始资本为x的可容许财富过程集,我们使用符号
(2.3)
我们将其定义为折现财富过程。
摘要
1 介绍
2 金融市场与最优投资问题
3.Non-co
随机时间范围的内凹优化问题
4 随机时间范围的动态规划方法
5 举例:Power Utility Function
6 最优投资
\ ({{\ mathcal {F}}} \)不过时间
7 结论
笔记
参考文献
致谢
作者信息
道德声明
附录
搜索
导航
#####
由于U是负无穷负的结果,我们可以在整个论文中限制自己分析非负财富过程。具体地说,假设代理人评估他/她的投资业绩时,会考虑到权重,和。设为所有投资组合的集合,这些投资组合相对于渐进可测量,局部平方可积,具有非负相关财富过程。在我们完整的金融市场设置中,我们考虑这个问题
(3.1)
根据引理1,第二个等式成立。定义
(3.2)
注意,对于,我们有更进一步,很明显,战略
是局部平方可积的。用相应的可接受的财富过程表示(等于时间)。注意,这是一个非负的局部鞅(因此是上鞅)。我们说上鞅是由-元组生成的。
优化问题(3.1)可以用以下方式重述
(3.3)
定义
(3.4)
根据条件(2.1),I是定义良好的。通过连续性可以求出上、下限值,使得I(x)是函数的最小值。式中,为u的右侧导数,得到的结果为优化问题(3.3)的最优性提供了充分条件。
让。假设有一个经过调整的过程,使得-元组生成的过程是一个鞅并且是一个常数。然后,求解优化问题(3.3)。
假设它是常数。那么对于任意的构造,这个过程是一个非负的局部鞅。省略繁琐的符号表示。设为对应的定域序列。然后,对于任何,
传递到极限,并使用法图的引理
(3.5)
该过程定义了一个概率测度的密度过程,因为它是一个初始值为1的鞅。由于它的构造可以观察到。因此,我们得到
对于任何可接受的Y,我们有
我们在上一步中使用了(3.5)。这意味着的最优性。
我们现在寻找最优性的必要条件。下面是本节的主要定理,它将Blanchet等人[10]的结果推广到非凹设置。取u的右边导数,我们需要下面的假设。
我们假设问题(3.3)的最优解是这样的,并且是一个平方可积鞅(而不仅仅是一个局部鞅)。更进一步,对于一些h是递减函数的。
如果(凹壳)为所有的,如果是有界的,我们可以选择。接下来,我们将构造一个集合,使它在a上为。由于假设U的左右两边的导数在每一点都存在,根据[18]中的定理17.9,U不可导的集合是可数的。因此,集合
也是可数的,因此是可测的。
表示至少有一个i by的集合,设A是它的补。换句话说,集合A包含在A处的投资组合结果的大多数情况,其中效用函数对零集取模可微。因为A是可测量的。
假设这是满足假设1的问题(3.3)的最优解。定义。那么,它认为A上的随机变量是常数(a.s.)。
如果A是零集,这个定理很明显。假设。考虑一个允许的(非负财富过程)Y,其终端值的形式是非负的且可测量的,如下
一)
是一个鞅,
b)
存在这样一个常数。特别地,是有界的。
因此,我们考虑一个投资组合Y,它在时间T与。进一步,由于Y是一个可容许的财富过程,并且是鞅
特别是,
(3.6)
我们定义for函数和by和
我们表示连续函数f的右侧导数和左侧导数。当然,在函数可微的点上,两个极限重合,“”和“-”可以分别省略。请注意,这是一个可接受的财富过程的终结条件,这意味着
假设1,其中为的负部分。因此,是可积的。因为我们做到了。计算
给出一个可积的支配随机变量。表示if和else。在假设1下,我们得到足够接近1的
我们知道函数在点处达到最大值,因为是假设的最优解。因此,因此,
使用它是一个有界鞅收益
因为根据定义,和对每一个i都是可导的,所以在a上,
(3.7)
我们注意到,这个等式对任何允许的财富过程Y都成立,使得a) - b)保持并等于on。定义Thus,它相当于
(3.8)
如果我们能证明Z在a上是常数,那么定理就会成立。通过(3.6),我们有(3.8)意味着
(3.9)
与。根据下面的引理2,它包含了这个
(3.10)
满足上的任何有界X。
现在如果或在A上我们在A上有这个,我们就完成了(因为和因此,Z在A上一定是常数)另一方面,如果然后
其中第一个方程成立,因为财富过程是非负的,并且根据A的定义,因为U(y)在For处不可微,我们可以定义Then。选择这样的。然后到(3.10)
因此,因此,因为根据上面的定义,这意味着Z是常数。为了得到Z的表示,我们回顾一下在这个证明开始时的定义。
对于满足上的任何可测量的有界X。
设置,(3.9)意味着
(3.11)
另一方面,(3.9)意味着(3.11)对于任何可测的且有界的量都成立。脚注1特别地,
(3.12)
对于任何有界可测的存在来说。
根据定义,财富积累过程是非负的。因此,我们实际上有这个
(3.13)
对于所有有界可测的,对于某些,以K为界。这可以看出如下。假设是有界且可测的,使得对于a是on,并且以K为界。然后我们有
而我们有
特别是,既然显然,由(3.12)暗示(3.13)。由于K是任意的,(3.13)实际上对任何有界可测的有和上都成立。
现在我们取一个可测的有界X满足,并且。如果在A上,那么引理就很清楚了。如果在A上,则是一个非零集合(因为),因此假设也是一个非零集合(参见A的定义,注意U在0处不可微)。定义
选择了这样的。它的存在性足够小,可以由中间值定理得出
和
现在是。更进一步,有一个满足式(3.13)的。因此,
凹化已被广泛应用于解决非凹优化问题,如[8,12,13,14,20,22,24,26,27],在时间范围固定且市场完整的各种设置中。凹化论证是基于凹化船体仅在有限个开区间的并集中严格优于初始函数U,并且在这个并集中是仿射的。关键思想是,为了获得更多的期望效用,智能体有可能将所有昂贵的状态放在这些区间的左侧点上,保持预算约束不变。
在本节中,我们将展示凹化技术可能不再直接适用于具有随机时间范围的设置。在此基础上,导出了非凹优化的动态规划原理。
我们将从下面这个有用的引理开始,稍微滥用一下符号,我们写成。
让分布与条件相同并且独立于w,然后我们有
设Y有界且不可测。Jeulin(2006),引理4.4关于一些不可测随机变量和一些不可测随机变量族。让分布与条件相同并且独立于w,然后我们有
从这个引理推导出条件期望的定义。
假设有与w相同且独立于w的分布,我们定义
和。请注意,V和依赖于哪个在符号中被抑制,以便于说明。我们想要找到。下面我们将展示它遵循通常的动态规划原则。
(动态规划)我们有
用投资于每项资产的财富比例表示,即我们设置它的位置。用幻灯片写的滥用符号对应的财富过程我们有
(4.1)
注意,(4.1)要求它是一个指数dolsamans - dade指数,特别是是非负的。下面,对于一个(固定的)允许策略和,我们定义了与at by的连接。假设我们有
(4.2)
式中,表示与策略相对应的财富过程,直到时间,从时间开始。第一个等式成立为。看到第二个相等音符,显然“”成立。为了显示“”,我们将显示,实际上对于每个固定的,它保持
为了证明这个不等式,我们将证明存在一个可接受的策略序列,从有条件的内在期望收敛于本质最高的时间开始。为此,我们首先要说明的是,作为本质至上者的集合是向上的,其定义见[17]附录a .5。
将每种策略与相应的最终财富相识别,我们可以等效地将基本最优值写为接管一组随机变量,定义为
接下来,让我们证明这个集合确实是向上指向的。For和,我们定义For和with
其中两个条件期望都与特定的as版本相识别。根据定义,我们有一个串联策略
Since和是可测量的。最后一个等式由as的定义成立。因此,集合是向上的。
根据[17]中的a .37(b)定理,存在一个序列,使得相应的内部条件期望在n中递增,并收敛于内部本质上点。因此,由单调收敛定理
我们现在可以证明,与具有一定时间范围的情况相反,当投资范围是随机的时候,确认效用函数是不适用的。换句话说,在优化(3.1)中替换U会导致次优策略。为此,我们需要研究某时间范围优化问题的值函数的平滑性和凹凸性
(4.3)
在[6]中也通过对偶控制问题和对偶HJB方程研究了值函数的平滑性和凹凸性,我们在后续的假设中也会做如下假设:
假设(H):,且对某常数和严格递增。
在假设(H)下,问题(4.3)的值函数是严格凹且严格递增的。对于某正常数,且满足Inada在零和无穷远处的条件。
根据[24]中的4.1定理,可以应用凹化论证,用其凹壳代替U。假设为递增且凹,则为严格递增,并应用[6]中的定理3.8满足增长条件。对定理3.8的证明和引理3.6[6]的检验也证实了它在0和无穷远处满足Inada条件。
假设假设(H)成立,并且凹化区域包含某个Footnote 3的区间。假设它不等于零,并且原始问题(3.1)有解。定义然后。
用投资于每项资产的财富比例表示,即我们设置它的位置。根据引理1,我们可以把自己限制在不可预测的策略上。再写一张滥用符号的幻灯片来描述我们拥有的相应的财富过程
在证明的续文中,我们假设它是一个非零集合,但又不失一般性。(否则重新定义。)然后通过矛盾假设。如(4.2)所述,可以证明它实际上也是一个最大化器,即,
假设所有的策略都是一致的,直到时间。利用动态规划原理,充分证明了在非零集合上
从那以后就一直是这样
引出矛盾。
让我们注意到,在完整的市场环境中,市场价格密度是无原子的,假设U是连续的。特别地,通过命题2和特定成熟度情况下的简化技术(参见[24]的第5节),最后一个周期值函数为
它是严格递增和严格凹的。因此,
根据和引理8.3的Inada条件,在和上存在严格凹
然后是
与。上面的严格不等式成立,因为在非零集合上不仿射,并且由于Inada条件在零点处(见引理8.3)在区间上是严格凹的。因此,通过默顿-拉格朗日型分析,取非零集合中的正概率值,其中。
从命题3可以得出,当时间范围是随机的时,不能直接将压缩技术(如[24])应用于U。然而,这种情况下的非凹优化仍然可以用命题1建立的递归过程来求解。这将在下一节中明确说明。
在本节中,我们将说明在前几节中建立的主要结果。特别地,我们考虑一个离散随机变量,也就是说,有时间和概率为,为了简单起见,我们假设和r是常数,我们选择一个功率(CRRA)效用,即,
(5.1)
首先注意,因为U是严格凹的,我们有这个。根据定理1,我们需要找到一个适应的过程,使得-元组生成的过程是一个鞅并且是一个常数。如下图所示,对于这样一个CRRA效用函数,我们可以找到一个确定性的,特别是一个常数。我们不会提供证据。
对于(5.1)中定义的电力效用U, -元组生成的最优解,其中
,为2.1节中风险的市场价格。进一步,最优投资策略为Merton策略,即在时间t时投资于风险资产的最优财富比例为,该比例与停止时间的分布无关。
因此,在凹优化问题中,最优投资组合选择不受不确定时间范围存在的影响,即使其价值函数与标准固定时间范围情况下的价值函数不相同。这一结果可以被认为是对Merton[21]和Richard[25]的证实,并且与[10,11]的研究结果一致。
在本节的其余部分中,我们将重点讨论随机成熟度具有二元分布的情况。我们考虑非凹目标函数的特殊选择,如(5.2)所示,即对于给定和:
(5.2)
Where, with。我们注意到,尽管在文献中考虑的几乎所有最优控制问题中都假设了一个固定的已知时间范围,但在现实中,固定的期限通常不是自然给定的,目标日期本身通常是随机类型的。因此,本章所考虑的问题适用于所有期权类型的管理薪酬问题,在非随机时间范围的情况下,在金融和OR文献中已经有丰富的文献可以追溯到[13,27]。
请注意,不仅在管理期权补偿中考虑,(5.2)形式的期权类收益也自然产生,例如在弹性附加保险产品中,在保单持有人的生命周期结束时,支付保证和参与率,后者取决于股票市场的回报。在这些产品中,投保人被允许影响人寿保险产品的投资决策。此类产品的一个例子是,在法国,如安盛双星人寿保险产品,在德国,瑞士生活冠军,在美国,如安联指数优势,见[14]和参考文献。在这种情况下,K、B分别是参与率、保证和门槛。
根据命题3,不能直接使用简化过程,我们将使用递归过程求解优化问题。为便于比较,我们引入由
(5.3)
在哪里。如[13,22]所示,由以下凹化方程定义:
(5.4)
注意,U被和的等式所支配。与(3.4)一样,我们可以通过
(5.5)
的倒数是。我们注意到I是的广义反函数在这个意义上
在上一阶段我们已经知道,这个问题可以看作是一个静态的非凹EU最大化问题。
给定时的财富水平,条件静态问题的最优终端财富,为
(5.6)
其中是-可测量的,并由预算约束定义,参见例[13,22,27]以获得更详细的讨论。最优财富过程由以下引理给出:
给定某一时刻的已实现财富水平,最优财富过程为
,从哪里e
(5.7)
式中满足时刻的预算约束,表示标准正态分布的累积分布函数,
(5.8)
引理直接由附录(5.6)和引理8.2推导而来。
注意财富的过程
,表示为函数产品的任何部分都取决于当时的财富水平,因为乘数是由当时的预算方程表征的。
间接值函数
是由
(5.9)
从(5.6)我们有
显式公式直接由附录引理8.2推导出来。
严格来说,这是全球范围内的合作吗Ncave函数及其前两个导数由
(5.10)
边际间接价值函数的逆
是由
(5.11)
通过区分预算约束
得到,其中
同样地,通过微分(5.9)我们得到
请注意,从(5.8)我们有任何,
(5.12)
通过直接计算,我们可以表示
作为
(5.13)
将式(5.12)与和应用,可得
由此得出
(5.14)
和
(5.15)
式(5.13)中的括号可表示为
从(5.2)我们有
和
这意味着,由于co非空化方程(5.4)。因此,
以上推导还表明(5.11)定义了的逆
对于功率效用函数,在给定某一时期的财富水平的情况下,计算该时期的最优投资策略是很简单的,参见例[13,22]。确定了时间的间接效用函数后,我们现在将优化问题表示为
(5.16)
在哪里和。注意(5.16)表示为完全市场下的非凹优化问题。为了解决这个问题,我们看一下它的静态版本
(5.17)
受通常的预算约束,其中凹函数定义为
(5.18)
由于在第一个周期,问题是静态的,所以非凹优化(5.17)的解是通过最大化凹化目标函数来给出的。分别为和对应的逆边际效用。的最优财富由下式给出。
问题(5.17)的最优投资组合由式给出
其中定义为
(5.19)
并确定了这样的预算nstraint
是满意的。
在给出证明之前,让我们注意一下(5.19)式定义了与的曲线共切的直线
和
.
对于和,考虑下面的拉格朗日函数
首先注意这是continuous和
达到最大值
, . 更进一步,由式(5.18)可知
对所有和。让
。如果,那么
。因此,在
并且在
。所以
是最大化时。同样的,对
我们观察到它在增加
并且在
。所以
是的最大化器。这还有待观察。案件内部。全局最优性的结果来自于比较
和
。为此,请公司内部ntinuous函数
很明显
,这意味着f递减。此外,注意到
我们获得
和
因为和
是严格凹的。因此,存在着这样的东西,它给了我们生命空化方程(5.19)。请注意,f严格为正,严格为负。的全局最大化器由
如果或通过
如果。存在并不难看出。
图1

加权效用与时间
我们考虑一个经典的布莱克-斯科尔斯市场,有风险资产S和债券B,我们假设,,,,,,。对于具有随机时间范围的非凹问题,我们采用递归方法求最优解。
图2

最优财富为
我们的数值说明依赖于蒙特卡罗模拟,其中有50000条市场价格密度路径来确定第一阶段的最优乘数。这个递归过程就是计算最后相当有挑战性。首先,虽然上一时期的间接价值函数可以在(5.9)中以封闭形式计算,但它隐含地依赖于价格密度。第二,边际效用函数的计算
,
记者连接公司未定义的实用程序是计算高度密集的非空化需要对市场价格密度的每个值进行根搜索步骤。这是使用Brent的方法完成的,并仔细选择起始值。我们注意到,这是生态的阿罗-德布鲁价格我有通讯在支付状态下的每个概率单位的值t。由于这个值在萧条时期高,而在繁荣时期低,因此可以被解释为反映了经济的整体状况经济或股票市场。特别是,在糟糕的市场情况下,它比相应的高,而在良好的市场情况下,它比相应的低一定时间跨度的财富问题T(职责。T/ 2)。下面,我们进行数值测试和计算确认5.2节建立的理论结果
为了检验时间加权效用的凹凸性,我们在图1中绘制了(5.9)中定义的时间的间接值函数。该图在数值上证实了命题5的结果是严格凹的,并且主导了初始效用u。此外,由(5.16)定义的加权效用确实是非凹的,其凹壳由间接价值函数主导。这意味着在T之前过早停止时间导致期望效用低于具有一定时间范围T的解决方案。换句话说,这个数值例子也证实了命题3的结果,即优化效用函数的凹化版本将导致次最优性。
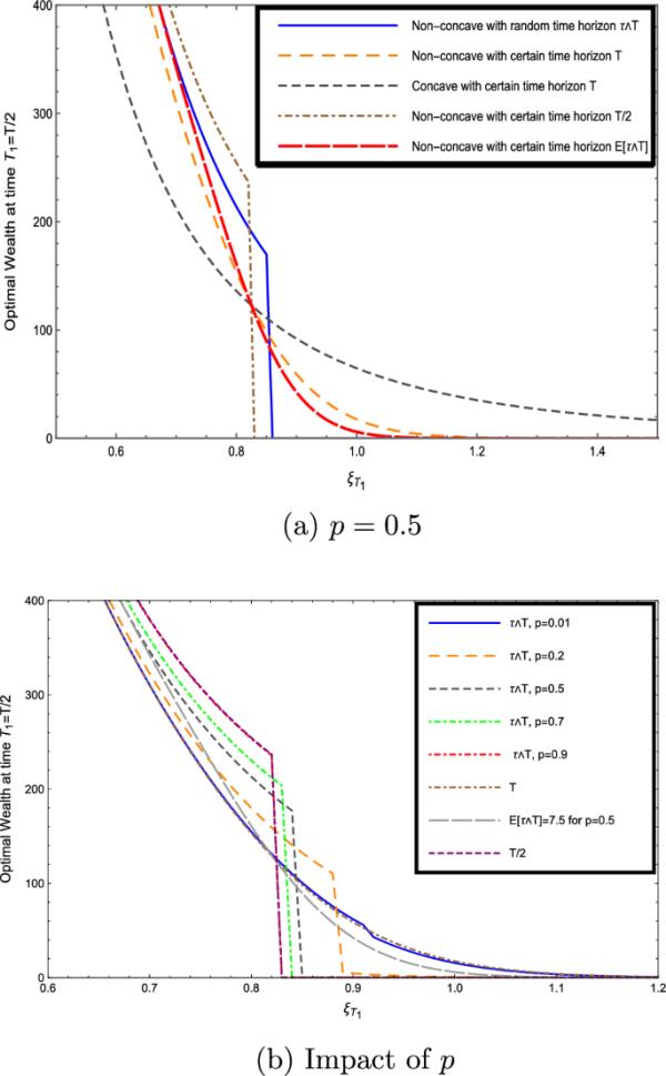
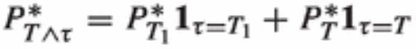
在t时刻的最优财富如图2a所示,它表现出一种介于具有一定时间范围的非凹问题和。此外,存在中间市场状态的范围,其中不确定时间财富可以高于或低于具有(确定)平均时间范围的非凹问题。如图2b所示,较大的(p < 0.05)。在最小时间范围值T/2时退出的概率越小,风险越大。在T/2时刻的投资行为。当p分别趋近于0和1时,随机水平问题收敛于具有一定水平T和T/2的极端情况。
为了进一步理解这种影响,我们在图3中绘制了5000次市场价格密度模拟中估计的最优财富密度。有趣的是,观察到财富的分配时,非coNcave优化问题右偏,右尾长,表明投资者期望从投资中频繁出现小损失和少数大收益。投资收益的正偏斜分布通常是具有期权式薪酬支付的代理人所希望的。此外,过早(在时间到来之前)T)退出风险迫使投资者遵循具有不同高度峰顶的右偏双峰分布的投资组合。双峰结构可以用co来解释空化程序在,何时存在时间的二项分布对两模态间的振幅有显著影响。概率越高p振幅越大。而(确定的)平均时间范围投资组合是右偏的单峰,随机时间范围投资组合,由于期权式的补偿支付,是双峰分布的,这为投资者提供了在两个局部最大化者之间切换的灵活性
和
,视市场表现而定。如果是这样的话在许多开放区间内,未确定的效用是仿射的,这是相应的人们直观地认为,财富是多模态分布的。再次,当p趋于0或1时,随机视界问题的财富分布具有一定视界的极端情况T和T/ 2。
图3

当时最优财富的估计密度
图4给出了最优停止财富的估计密度
模拟了10000种情况下的价格密度和二元随机变量。与图3中观察到的结果一致,随机时间范围的收益表现出右倾斜和多模态分布,co再次证实,在过早(时间T之前)退出风险下,优化投资者被迫接受频繁的小损失和少量的大收益。与非co相比具有(确定)平均视界的问题,虽然在损失较大的状态(即财富小于100时)保护较少,但在中等和极端收益情景下,随机视界收益具有更高的潜力。然而,提前退出风险使得随机地平线收益不为0与具有一定视界的最优收益相比,在极端收益情景下吸引力更小,但在大损失状态下风险更大T。另一方面,由于预算约束,具有随机时间范围的智能体在中间情景下具有更高的潜力。
图4

估计密度
,最优财富止于
现在我们将注意力转向时间范围不确定性对总期望效用的影响。我们首先注意到,在一定的时间范围设置下,可以在数值上证明凹问题和非凹问题的值函数是时间范围变量的凸函数。图5报告了退出概率对随机时间范围和特定时间范围的预期效用的影响。如右图所示,随机水平凹问题的期望效用总是高于确定水平问题的期望效用,这是由于价值函数在时间范围上的凹凸性,以及确定和不确定水平时间范围的投资策略是相同的,并且由默顿分数给出(见命题4)。
图5的左面板报告了非凹优化设置的预期效用。当p接近于0和1时,我们观察到不确定时间范围问题比确定时间范围问题具有类似的期望效用优势。然而,对于给定参数的p的中间值,很难看到这种效应。与凹型优化问题不同,非凹型优化问题的最优投资策略明显依赖于时间范围。
图5

对预期效用的影响
最后,令u的右导数在这里。我们现在要用数值验证定理2中所示的,在集合上加权乘数是常数(a.s.)。我们注意到它是一个非零集合并且U在0处不可导。对于给定的参数,对于50000条路径上的市场风险价格,我们得到了在集合上是常数的,证实了定理2所建立的结果。注意,这个加权乘数与第一个周期的乘数一致。当考虑不同的p值时,结果是一致的,见表1。
表1集合上的加权乘数
在这一节中,我们研究了停止时间取值等于或大于t的情况,特别是放弃了对随机成熟度的独立性假设。为简单起见,我们在本节中再次考虑(5.2)中定义的非凹效用函数U。我们注意到,本节中获得的结果可以扩展到更一般的实用程序。优化问题(3.1)变成
(6.1)
回想一下(3.4)定义的广义逆边际效用。函数处处不可微,但超微分可以用集值函数来标识
(6.2)
我们用集合来表示所有可允许的财富过程,这些财富过程解决了某些SDE(2.2)。请注意,对于任何和停止时间,停止上鞅属性意味着
假设这是一个停止时间,取值为t或大于t,进一步假设存在一个适应过程,它是一个鞅并且是一个常数。然后,求解优化问题(6.1)。
假设它是常数。我们首先观察到它是一个从初值开始的鞅。利用鞅表示定理和It?的公式,我们可以推导出满足某些允许策略的SDE(2.2),因此,。此外,很明显。现在,对于我们所有的证据
(6.3)
注意,这个过程定义了一个概率测度的密度过程,因为它是一个初始值等于1的鞅。因此,由贝叶斯公式和假设我们得到
(6.4)
对于任意允许的Y,我们有(6.4
我们在上一步中使用了(6.3)。这意味着过程的最优性。
我们现在的目标是解决为停止时间时的非凹优化问题,即
(6.5)
其中U为(5.2)定义的非凹效用函数。特别地,通过应用命题7,我们在下面证明了问题(6.5)可以通过简化论证来解决,最优财富过程可以用这个过程来表征,其中I是由(5.5)定义的广义逆边际效用函数,是一个适应过程。我们需要下面的可积性条件。
条件(C):对于任何,。
下面我们显示在条件(C)和假设停止时间适应金融市场过滤,则有可能指导一个适应的过程,使过程过程是一个鞅和
是一个常数。结果总结为以下命题。
(有停止时间范围的非凹问题)假设有一个停止时间取值为或大于T,条件(C)成立。那么,存在一个自适应过程,使得问题(6.5)的最优财富为,且为满足的常数
考虑由条件(C)定义的映射。由于市场价格密度是无原子的,f是连续的。利用Fatou引理(5.5)和Inada的幂效用函数U的条件,得到和。因此,存在这样的。定义,和
其中超微分由式(6.2)定义。注意,由于条件期望过程是一个具有初值的非负鞅,因此上面几乎肯定对应于且是可逆的。因此,通过构造,该过程是一个鞅(见(6.2)),并且是一个常数。因此,根据命题7,是(6.5)的最优解。
与[11]中的命题3.3一致,其中为严格凹效用函数U的停止时间。
(具有停止时间范围的凹问题)假设U是满足条件(C)的严格凹效用函数,且U是取值为或大于t的停止时间。此外,存在一个适应过程,使得问题(6.5)的最优财富为,且为常数。
研究了在完全金融市场环境下具有随机时间范围的非凹最优投资问题。我们建立了具有随机时间范围的一般效用函数的最优性的充分必要条件。当与财务风险无关时,我们证明了直接简化法不能适用,并提出了基于动态规划原理的递归方法。通过对具有随机时间范围的非凹期权补偿问题进行多周期数值分析,说明了这一发现。我们通过数值计算表明,由于锥化,非凹优化问题在退出时刻的财富分布是右偏斜的,并且有一条长右尾,这表明投资者可以期望从投资中获得频繁的小损失和少量的大收益。在过早退出风险下,退出时间下的财富表现为双峰分布,且由于锥化过程导致峰值高度不同,而退出时间分布对两种模式之间的振幅有显著影响。
我们的工作为未来的工作留下了几个有趣的方向。例如,研究时间范围与金融市场信息相关的情况,或者像[11]那样研究一般不完整金融市场中的问题,将会很有趣。此外,我们的具有随机视界的非凹框架可以作为一种尝试,将定期人寿保险或有盈余参与的保险合同设计问题的结果推广到不确定的时间视界设置。我们把这个留给以后的工作。
下载原文档:https://link.springer.com/content/pdf/10.1007/s00245-023-10037-x.pdf
点击分享到









